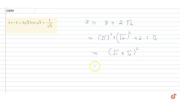
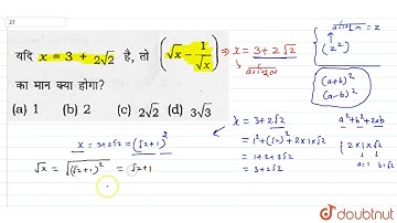
If `x=3+2sqrt2`, then find the value of `(sqrtx -""1/sqrtx)`

Tonton & Download Video Musik Gratis

⬇ DOWNLOAD NOW
Kalau muncul iklan pop-up, tutup lalu klik tombol kembali

Download lagu If `x=3+2sqrt2`, then find the value of `(sqrtx -""1/sqrtx)` secara gratis hanya untuk keperluan promosi. Dukung artis favorit kamu dengan membeli musik original di iTunes atau platform resmi lainnya.