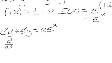
Solve the differential equation dy/dx + y/x = 1/x^2 using the integrating factor method #calculus

Tonton & Download Video Musik Gratis

⬇ DOWNLOAD NOW
Kalau muncul iklan pop-up, tutup lalu klik tombol kembali

Download lagu Solve the differential equation dy/dx + y/x = 1/x^2 using the integrating factor method #calculus secara gratis hanya untuk keperluan promosi. Dukung artis favorit kamu dengan membeli musik original di iTunes atau platform resmi lainnya.