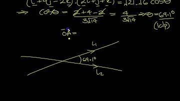
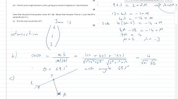
Vectors - Perpendicular to a Line : C4 Edexcel January 2013 Q7(c) : ExamSolutions Maths Revision

Tonton & Download Video Musik Gratis

⬇ DOWNLOAD NOW
Kalau muncul iklan pop-up, tutup lalu klik tombol kembali

Download lagu Vectors - Perpendicular to a Line : C4 Edexcel January 2013 Q7(c) : ExamSolutions Maths Revision secara gratis hanya untuk keperluan promosi. Dukung artis favorit kamu dengan membeli musik original di iTunes atau platform resmi lainnya.