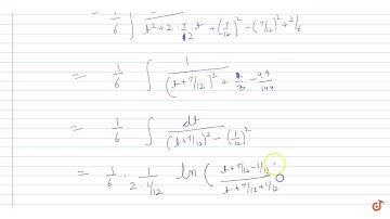
Evaluate: `intdx/[x{6(logx)^2+7logx+2}]`

Tonton & Download Video Musik Gratis

⬇ DOWNLOAD NOW
Kalau muncul iklan pop-up, tutup lalu klik tombol kembali

Download lagu Evaluate: `intdx/[x{6(logx)^2+7logx+2}]` secara gratis hanya untuk keperluan promosi. Dukung artis favorit kamu dengan membeli musik original di iTunes atau platform resmi lainnya.