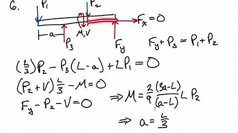
Solved Problem 7.6 | Determine the distance a as a fraction of the beam's length L

Tonton & Download Video Musik Gratis

⬇ DOWNLOAD NOW
Kalau muncul iklan pop-up, tutup lalu klik tombol kembali

Download lagu Solved Problem 7.6 | Determine the distance a as a fraction of the beam's length L secara gratis hanya untuk keperluan promosi. Dukung artis favorit kamu dengan membeli musik original di iTunes atau platform resmi lainnya.