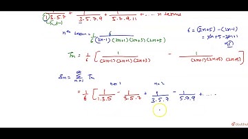
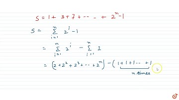
The sum of the series 1-3+5-7+9-11+ . . . . To n terms is

Tonton & Download Video Musik Gratis

⬇ DOWNLOAD NOW
Kalau muncul iklan pop-up, tutup lalu klik tombol kembali

Download lagu The sum of the series 1-3+5-7+9-11+ . . . . To n terms is secara gratis hanya untuk keperluan promosi. Dukung artis favorit kamu dengan membeli musik original di iTunes atau platform resmi lainnya.