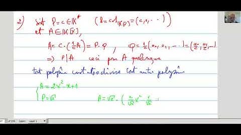
Calcul Formel Chapitre 2, Partie 2 : algorithme d'Euclide étendu (principe).

Tonton & Download Video Musik Gratis

⬇ DOWNLOAD NOW
Kalau muncul iklan pop-up, tutup lalu klik tombol kembali

Download lagu Calcul Formel Chapitre 2, Partie 2 : algorithme d'Euclide étendu (principe). secara gratis hanya untuk keperluan promosi. Dukung artis favorit kamu dengan membeli musik original di iTunes atau platform resmi lainnya.