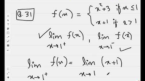
Calculus by S.M. Yusuf - Exercise 1.2 Q.30 to Q 39

Tonton & Download Video Musik Gratis

⬇ DOWNLOAD NOW
Kalau muncul iklan pop-up, tutup lalu klik tombol kembali

Download lagu Calculus by S.M. Yusuf - Exercise 1.2 Q.30 to Q 39 secara gratis hanya untuk keperluan promosi. Dukung artis favorit kamu dengan membeli musik original di iTunes atau platform resmi lainnya.