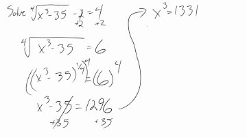
Math 111 : 4.5 part 2 #6 (Precalculus Tutorial : Exponential & Logarithmic Equations)

Tonton & Download Video Musik Gratis

⬇ DOWNLOAD NOW
Kalau muncul iklan pop-up, tutup lalu klik tombol kembali

Download lagu Math 111 : 4.5 part 2 #6 (Precalculus Tutorial : Exponential & Logarithmic Equations) secara gratis hanya untuk keperluan promosi. Dukung artis favorit kamu dengan membeli musik original di iTunes atau platform resmi lainnya.