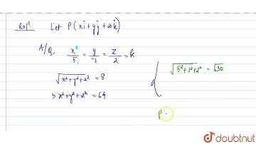
Find a vector in the direction of vector 5 î-ĵ+2 k̂ which has magnitude 8 units. Let a⃗=5 î-ĵ+2 k...

Tonton & Download Video Musik Gratis

⬇ DOWNLOAD NOW
Kalau muncul iklan pop-up, tutup lalu klik tombol kembali

Download lagu Find a vector in the direction of vector 5 î-ĵ+2 k̂ which has magnitude 8 units. Let a⃗=5 î-ĵ+2 k... secara gratis hanya untuk keperluan promosi. Dukung artis favorit kamu dengan membeli musik original di iTunes atau platform resmi lainnya.