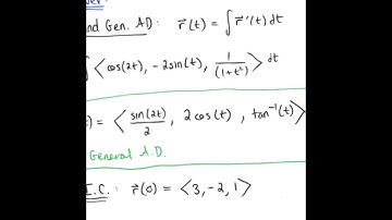
12.02.07 Antiderivatives of Vector Valued Functions with Initial Conditions Example

Tonton & Download Video Musik Gratis

⬇ DOWNLOAD NOW
Kalau muncul iklan pop-up, tutup lalu klik tombol kembali

Download lagu 12.02.07 Antiderivatives of Vector Valued Functions with Initial Conditions Example secara gratis hanya untuk keperluan promosi. Dukung artis favorit kamu dengan membeli musik original di iTunes atau platform resmi lainnya.