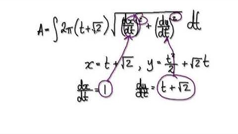
Lec 31, 18 01, Single Variable Calculus, Parametric Equations, Surface Area

Tonton & Download Video Musik Gratis

⬇ DOWNLOAD NOW
Kalau muncul iklan pop-up, tutup lalu klik tombol kembali

Download lagu Lec 31, 18 01, Single Variable Calculus, Parametric Equations, Surface Area secara gratis hanya untuk keperluan promosi. Dukung artis favorit kamu dengan membeli musik original di iTunes atau platform resmi lainnya.