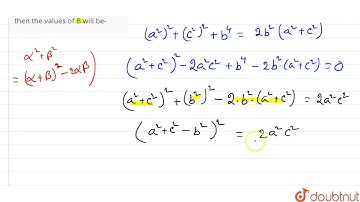
If a^4+b^4+c^4=2c^2 (a^2+b^2 ), Prove that C=45^0 or 135^0

Tonton & Download Video Musik Gratis

⬇ DOWNLOAD NOW
Kalau muncul iklan pop-up, tutup lalu klik tombol kembali

Download lagu If a^4+b^4+c^4=2c^2 (a^2+b^2 ), Prove that C=45^0 or 135^0 secara gratis hanya untuk keperluan promosi. Dukung artis favorit kamu dengan membeli musik original di iTunes atau platform resmi lainnya.