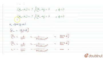
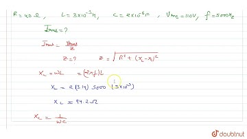
An inductor, a capacitor and a resistor are connected in series with an ac source v=Vmsin....

Tonton & Download Video Musik Gratis

⬇ DOWNLOAD NOW
Kalau muncul iklan pop-up, tutup lalu klik tombol kembali

Download lagu An inductor, a capacitor and a resistor are connected in series with an ac source v=Vmsin.... secara gratis hanya untuk keperluan promosi. Dukung artis favorit kamu dengan membeli musik original di iTunes atau platform resmi lainnya.