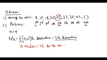
How to calculate Positional Average - MEDIAN ? | Class 11 | Statistics

Tonton & Download Video Musik Gratis

⬇ DOWNLOAD NOW
Kalau muncul iklan pop-up, tutup lalu klik tombol kembali

Download lagu How to calculate Positional Average - MEDIAN ? | Class 11 | Statistics secara gratis hanya untuk keperluan promosi. Dukung artis favorit kamu dengan membeli musik original di iTunes atau platform resmi lainnya.