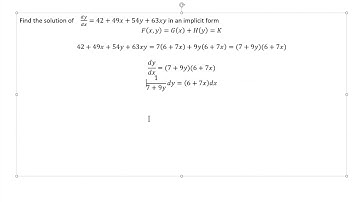
IMPLICIT and EXPLICIT, Solve the (separable) DEs | Differential Equations (review)

Tonton & Download Video Musik Gratis

⬇ DOWNLOAD NOW
Kalau muncul iklan pop-up, tutup lalu klik tombol kembali

Download lagu IMPLICIT and EXPLICIT, Solve the (separable) DEs | Differential Equations (review) secara gratis hanya untuk keperluan promosi. Dukung artis favorit kamu dengan membeli musik original di iTunes atau platform resmi lainnya.