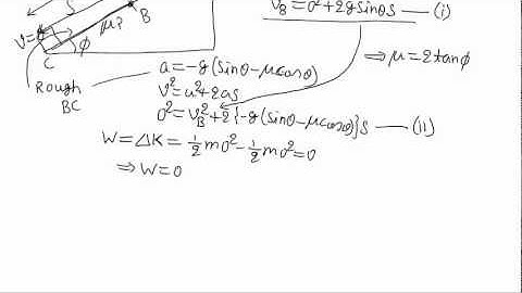
AIEEE 2005-6th (JEE MAIN), Laws of Motion, QUESTION WITH SOLUTION

Tonton & Download Video Musik Gratis

⬇ DOWNLOAD NOW
Kalau muncul iklan pop-up, tutup lalu klik tombol kembali

Download lagu AIEEE 2005-6th (JEE MAIN), Laws of Motion, QUESTION WITH SOLUTION secara gratis hanya untuk keperluan promosi. Dukung artis favorit kamu dengan membeli musik original di iTunes atau platform resmi lainnya.