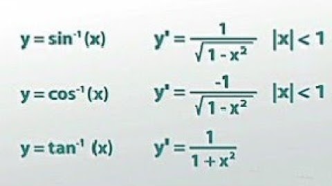
Mathematics N5 Differentiation - Derivatives of Inverse Trigonometric Functions @earthlyteachings

Tonton & Download Video Musik Gratis

⬇ DOWNLOAD NOW
Kalau muncul iklan pop-up, tutup lalu klik tombol kembali

Download lagu Mathematics N5 Differentiation - Derivatives of Inverse Trigonometric Functions @earthlyteachings secara gratis hanya untuk keperluan promosi. Dukung artis favorit kamu dengan membeli musik original di iTunes atau platform resmi lainnya.