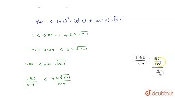
12.The least positive integer n for which `(n+1)^(1/3)-(n)^(1/3) lt1/12` is

Tonton & Download Video Musik Gratis

⬇ DOWNLOAD NOW
Kalau muncul iklan pop-up, tutup lalu klik tombol kembali

Download lagu 12.The least positive integer n for which `(n+1)^(1/3)-(n)^(1/3) lt1/12` is secara gratis hanya untuk keperluan promosi. Dukung artis favorit kamu dengan membeli musik original di iTunes atau platform resmi lainnya.