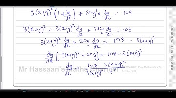
WMA14/01, IAL, (Edexcel), P4, October 2022, Q10, Related Rates of Change, Differential Equations

Tonton & Download Video Musik Gratis

⬇ DOWNLOAD NOW
Kalau muncul iklan pop-up, tutup lalu klik tombol kembali

Download lagu WMA14/01, IAL, (Edexcel), P4, October 2022, Q10, Related Rates of Change, Differential Equations secara gratis hanya untuk keperluan promosi. Dukung artis favorit kamu dengan membeli musik original di iTunes atau platform resmi lainnya.