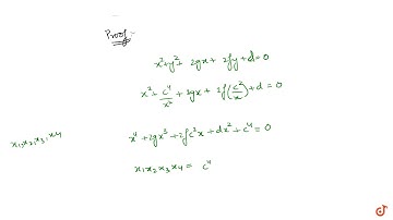
If Px1,y1,Qx2,y2,Rx3,y3 and Sx4,y4  are four concyclic points on the rectangular hyperbola ....

Tonton & Download Video Musik Gratis

⬇ DOWNLOAD NOW
Kalau muncul iklan pop-up, tutup lalu klik tombol kembali

Download lagu If Px1,y1,Qx2,y2,Rx3,y3 and Sx4,y4  are four concyclic points on the rectangular hyperbola .... secara gratis hanya untuk keperluan promosi. Dukung artis favorit kamu dengan membeli musik original di iTunes atau platform resmi lainnya.