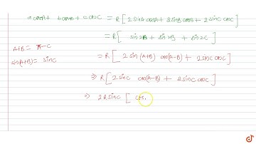
If `alpha,beta,gamma` are lengths of the altitudes of a triangle `ABC` with area `Delta`, then

Tonton & Download Video Musik Gratis

⬇ DOWNLOAD NOW
Kalau muncul iklan pop-up, tutup lalu klik tombol kembali

Download lagu If `alpha,beta,gamma` are lengths of the altitudes of a triangle `ABC` with area `Delta`, then secara gratis hanya untuk keperluan promosi. Dukung artis favorit kamu dengan membeli musik original di iTunes atau platform resmi lainnya.