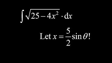
Calculus Help: Integral ∫ √(25-4x^2 )/x dx - Integration by trigonometric substitution

Tonton & Download Video Musik Gratis

⬇ DOWNLOAD NOW
Kalau muncul iklan pop-up, tutup lalu klik tombol kembali

Download lagu Calculus Help: Integral ∫ √(25-4x^2 )/x dx - Integration by trigonometric substitution secara gratis hanya untuk keperluan promosi. Dukung artis favorit kamu dengan membeli musik original di iTunes atau platform resmi lainnya.