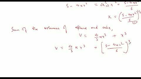
The sum of the surfaces of a sphere and a cube is given. Show that when the sum of the volumes i...

Tonton & Download Video Musik Gratis

⬇ DOWNLOAD NOW
Kalau muncul iklan pop-up, tutup lalu klik tombol kembali

Download lagu The sum of the surfaces of a sphere and a cube is given. Show that when the sum of the volumes i... secara gratis hanya untuk keperluan promosi. Dukung artis favorit kamu dengan membeli musik original di iTunes atau platform resmi lainnya.