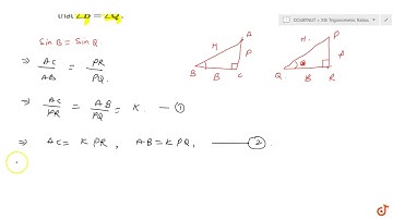
If ∠B and ∠Q are acute angles such that SinB=SinQ then show that ∠B=∠Q

Tonton & Download Video Musik Gratis

⬇ DOWNLOAD NOW
Kalau muncul iklan pop-up, tutup lalu klik tombol kembali

Download lagu If ∠B and ∠Q are acute angles such that SinB=SinQ then show that ∠B=∠Q secara gratis hanya untuk keperluan promosi. Dukung artis favorit kamu dengan membeli musik original di iTunes atau platform resmi lainnya.