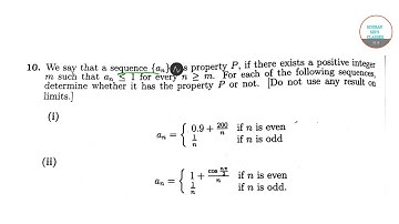
TEST OF MATHEMATICS 1 SOLUTION ISI BSTAT/BMATH/MSQE/MSTAT/MMATH

Tonton & Download Video Musik Gratis

⬇ DOWNLOAD NOW
Kalau muncul iklan pop-up, tutup lalu klik tombol kembali

Download lagu TEST OF MATHEMATICS 1 SOLUTION ISI BSTAT/BMATH/MSQE/MSTAT/MMATH secara gratis hanya untuk keperluan promosi. Dukung artis favorit kamu dengan membeli musik original di iTunes atau platform resmi lainnya.