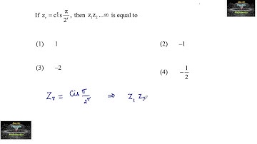
If z = cos ( pi / 2^r ) + isin ( pi / 2^r), then z1•z2•z3•z4••••up to infinity equals :-

Tonton & Download Video Musik Gratis

⬇ DOWNLOAD NOW
Kalau muncul iklan pop-up, tutup lalu klik tombol kembali

Download lagu If z = cos ( pi / 2^r ) + isin ( pi / 2^r), then z1•z2•z3•z4••••up to infinity equals :- secara gratis hanya untuk keperluan promosi. Dukung artis favorit kamu dengan membeli musik original di iTunes atau platform resmi lainnya.