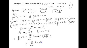
Lecture 14: Example on discontinuous function over (-L, L)(Neither even nor odd)

Tonton & Download Video Musik Gratis

⬇ DOWNLOAD NOW
Kalau muncul iklan pop-up, tutup lalu klik tombol kembali

Download lagu Lecture 14: Example on discontinuous function over (-L, L)(Neither even nor odd) secara gratis hanya untuk keperluan promosi. Dukung artis favorit kamu dengan membeli musik original di iTunes atau platform resmi lainnya.