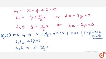
Find the equation of the circle which circumscribes the triangle formed by the lines \( x+y=2, \...

Tonton & Download Video Musik Gratis

⬇ DOWNLOAD NOW
Kalau muncul iklan pop-up, tutup lalu klik tombol kembali

Download lagu Find the equation of the circle which circumscribes the triangle formed by the lines \( x+y=2, \... secara gratis hanya untuk keperluan promosi. Dukung artis favorit kamu dengan membeli musik original di iTunes atau platform resmi lainnya.