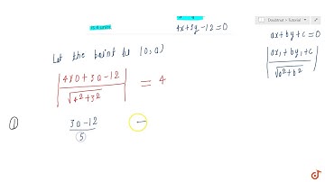
find the points on the x-axis, whose distances from the line x/3 + y/4 = 1 are 4 units

Tonton & Download Video Musik Gratis

⬇ DOWNLOAD NOW
Kalau muncul iklan pop-up, tutup lalu klik tombol kembali

Download lagu find the points on the x-axis, whose distances from the line x/3 + y/4 = 1 are 4 units secara gratis hanya untuk keperluan promosi. Dukung artis favorit kamu dengan membeli musik original di iTunes atau platform resmi lainnya.