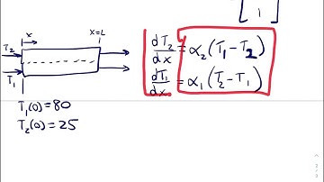
Difference between Initial value and Boundary value problems| Initial value problems|Boundary value

Tonton & Download Video Musik Gratis

⬇ DOWNLOAD NOW
Kalau muncul iklan pop-up, tutup lalu klik tombol kembali

Download lagu Difference between Initial value and Boundary value problems| Initial value problems|Boundary value secara gratis hanya untuk keperluan promosi. Dukung artis favorit kamu dengan membeli musik original di iTunes atau platform resmi lainnya.