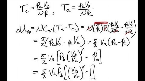
Figure 17 is a PV diagram for a reversible heat engine in which 1.0 mol of argon, a nearly ideal mon

Tonton & Download Video Musik Gratis

⬇ DOWNLOAD NOW
Kalau muncul iklan pop-up, tutup lalu klik tombol kembali

Download lagu Figure 17 is a PV diagram for a reversible heat engine in which 1.0 mol of argon, a nearly ideal mon secara gratis hanya untuk keperluan promosi. Dukung artis favorit kamu dengan membeli musik original di iTunes atau platform resmi lainnya.