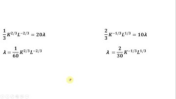
Lagrange Multipliers: Find Minimum Cost using Cobb Douglas Production Function

Tonton & Download Video Musik Gratis

⬇ DOWNLOAD NOW
Kalau muncul iklan pop-up, tutup lalu klik tombol kembali

Download lagu Lagrange Multipliers: Find Minimum Cost using Cobb Douglas Production Function secara gratis hanya untuk keperluan promosi. Dukung artis favorit kamu dengan membeli musik original di iTunes atau platform resmi lainnya.