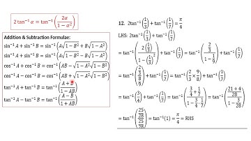
Math 1st year l 13.2 part-1 l Addition and Subtraction for Inverse Trigonometric Functions

Tonton & Download Video Musik Gratis

⬇ DOWNLOAD NOW
Kalau muncul iklan pop-up, tutup lalu klik tombol kembali

Download lagu Math 1st year l 13.2 part-1 l Addition and Subtraction for Inverse Trigonometric Functions secara gratis hanya untuk keperluan promosi. Dukung artis favorit kamu dengan membeli musik original di iTunes atau platform resmi lainnya.