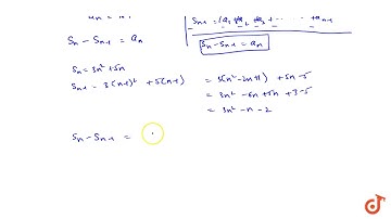
If the sum of `n` terms of an A.P. is `2n^2+5n ,\ ` then its nth term is ltbr gt a.`4n-3` b. `

Tonton & Download Video Musik Gratis

⬇ DOWNLOAD NOW
Kalau muncul iklan pop-up, tutup lalu klik tombol kembali

Download lagu If the sum of `n` terms of an A.P. is `2n^2+5n ,\ ` then its nth term is ltbr gt a.`4n-3` b. ` secara gratis hanya untuk keperluan promosi. Dukung artis favorit kamu dengan membeli musik original di iTunes atau platform resmi lainnya.