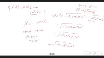
Mathematics & Zoology | After SEE Bridge Course & CTEVT Entrance Preparation | Smart Academy

Tonton & Download Video Musik Gratis

⬇ DOWNLOAD NOW
Kalau muncul iklan pop-up, tutup lalu klik tombol kembali

Download lagu Mathematics & Zoology | After SEE Bridge Course & CTEVT Entrance Preparation | Smart Academy secara gratis hanya untuk keperluan promosi. Dukung artis favorit kamu dengan membeli musik original di iTunes atau platform resmi lainnya.