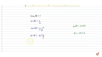
If sinθ= a for exactly one values of θ∈[0, 7 π/3] then the value of a is(a) √(3)/2 (b) 1 (c) 0 (d...

Tonton & Download Video Musik Gratis

⬇ DOWNLOAD NOW
Kalau muncul iklan pop-up, tutup lalu klik tombol kembali

Download lagu If sinθ= a for exactly one values of θ∈[0, 7 π/3] then the value of a is(a) √(3)/2 (b) 1 (c) 0 (d... secara gratis hanya untuk keperluan promosi. Dukung artis favorit kamu dengan membeli musik original di iTunes atau platform resmi lainnya.