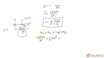
, , An object is projected vertically upward from the surface of the earth of mass M with a veloc...

Tonton & Download Video Musik Gratis

⬇ DOWNLOAD NOW
Kalau muncul iklan pop-up, tutup lalu klik tombol kembali

Download lagu , , An object is projected vertically upward from the surface of the earth of mass M with a veloc... secara gratis hanya untuk keperluan promosi. Dukung artis favorit kamu dengan membeli musik original di iTunes atau platform resmi lainnya.