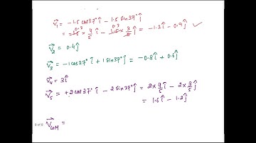
HC Verma solutions Centre of mass , Linear momentum, Collision: Q.4- A uniform disc of radius R is

Tonton & Download Video Musik Gratis

⬇ DOWNLOAD NOW
Kalau muncul iklan pop-up, tutup lalu klik tombol kembali

Download lagu HC Verma solutions Centre of mass , Linear momentum, Collision: Q.4- A uniform disc of radius R is secara gratis hanya untuk keperluan promosi. Dukung artis favorit kamu dengan membeli musik original di iTunes atau platform resmi lainnya.