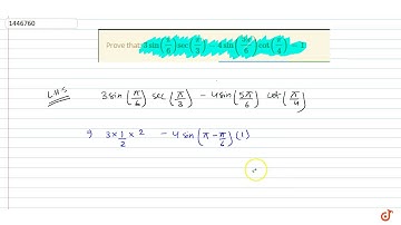
class 11 chapter 3 Example 10 Prove that 3sin(pi/6)sec(pi/3)-4sin(5pi/6)cot(pi/4)=1

Tonton & Download Video Musik Gratis

⬇ DOWNLOAD NOW
Kalau muncul iklan pop-up, tutup lalu klik tombol kembali

Download lagu class 11 chapter 3 Example 10 Prove that 3sin(pi/6)sec(pi/3)-4sin(5pi/6)cot(pi/4)=1 secara gratis hanya untuk keperluan promosi. Dukung artis favorit kamu dengan membeli musik original di iTunes atau platform resmi lainnya.