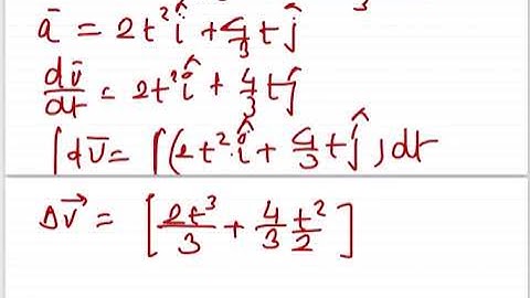
An object of mass 3  kg is at rest. Now a force of F⃗=6 t^2î+4 t ĵ is applied on the object then ...

Tonton & Download Video Musik Gratis

⬇ DOWNLOAD NOW
Kalau muncul iklan pop-up, tutup lalu klik tombol kembali

Download lagu An object of mass 3  kg is at rest. Now a force of F⃗=6 t^2î+4 t ĵ is applied on the object then ... secara gratis hanya untuk keperluan promosi. Dukung artis favorit kamu dengan membeli musik original di iTunes atau platform resmi lainnya.