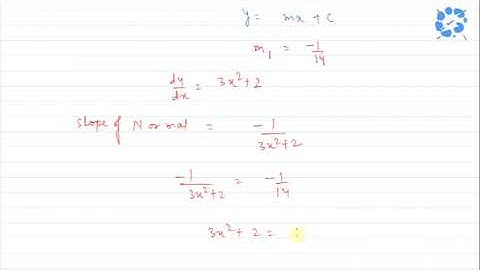
find the equation of the normal to the curve y=x^3+2x+6 which are parallel to the line x+14y+4=0

Tonton & Download Video Musik Gratis

⬇ DOWNLOAD NOW
Kalau muncul iklan pop-up, tutup lalu klik tombol kembali

Download lagu find the equation of the normal to the curve y=x^3+2x+6 which are parallel to the line x+14y+4=0 secara gratis hanya untuk keperluan promosi. Dukung artis favorit kamu dengan membeli musik original di iTunes atau platform resmi lainnya.