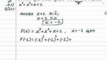
std 9 maths ch 2 swadhyay 2.3 q 1 | ધોરણ 9 ગણિત સ્વાધ્યાય 2.3 | dhoran 9 ganit chapter 2 2.3 q 1

Tonton & Download Video Musik Gratis

⬇ DOWNLOAD NOW
Kalau muncul iklan pop-up, tutup lalu klik tombol kembali

Download lagu std 9 maths ch 2 swadhyay 2.3 q 1 | ધોરણ 9 ગણિત સ્વાધ્યાય 2.3 | dhoran 9 ganit chapter 2 2.3 q 1 secara gratis hanya untuk keperluan promosi. Dukung artis favorit kamu dengan membeli musik original di iTunes atau platform resmi lainnya.