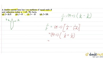
An equi convex lens has refractive index 1.5 write its focal length in terms of radius of curvatures

Tonton & Download Video Musik Gratis

⬇ DOWNLOAD NOW
Kalau muncul iklan pop-up, tutup lalu klik tombol kembali

Download lagu An equi convex lens has refractive index 1.5 write its focal length in terms of radius of curvatures secara gratis hanya untuk keperluan promosi. Dukung artis favorit kamu dengan membeli musik original di iTunes atau platform resmi lainnya.