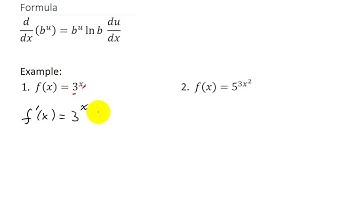
DERIVATIVE Of Exponential Functions With Base Not Equal To e (II)

Tonton & Download Video Musik Gratis

⬇ DOWNLOAD NOW
Kalau muncul iklan pop-up, tutup lalu klik tombol kembali

Download lagu DERIVATIVE Of Exponential Functions With Base Not Equal To e (II) secara gratis hanya untuk keperluan promosi. Dukung artis favorit kamu dengan membeli musik original di iTunes atau platform resmi lainnya.