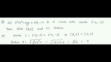
3#If x² + y² + 2gx + 2fy = 0 represents a circle with centre (–4,–3) then find g, f, radius.

Tonton & Download Video Musik Gratis

⬇ DOWNLOAD NOW
Kalau muncul iklan pop-up, tutup lalu klik tombol kembali

Download lagu 3#If x² + y² + 2gx + 2fy = 0 represents a circle with centre (–4,–3) then find g, f, radius. secara gratis hanya untuk keperluan promosi. Dukung artis favorit kamu dengan membeli musik original di iTunes atau platform resmi lainnya.