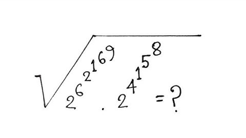
Can you solve this equation simple equation? #math #algebra #mathstricks #basicproblems

Tonton & Download Video Musik Gratis

⬇ DOWNLOAD NOW
Kalau muncul iklan pop-up, tutup lalu klik tombol kembali

Download lagu Can you solve this equation simple equation? #math #algebra #mathstricks #basicproblems secara gratis hanya untuk keperluan promosi. Dukung artis favorit kamu dengan membeli musik original di iTunes atau platform resmi lainnya.