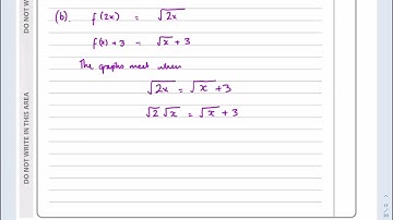
IAL Edexcel Oct 2022 P1 Q7, Graphs and Transformations, Transforming Functions, Inequalities, Pure

Tonton & Download Video Musik Gratis

⬇ DOWNLOAD NOW
Kalau muncul iklan pop-up, tutup lalu klik tombol kembali

Download lagu IAL Edexcel Oct 2022 P1 Q7, Graphs and Transformations, Transforming Functions, Inequalities, Pure secara gratis hanya untuk keperluan promosi. Dukung artis favorit kamu dengan membeli musik original di iTunes atau platform resmi lainnya.