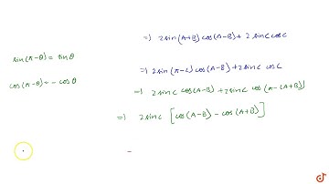
If A+B+C=pi then prove that : sin2A+sin2B+sin2C=4sinAsinBsinC

Tonton & Download Video Musik Gratis

⬇ DOWNLOAD NOW
Kalau muncul iklan pop-up, tutup lalu klik tombol kembali

Download lagu If A+B+C=pi then prove that : sin2A+sin2B+sin2C=4sinAsinBsinC secara gratis hanya untuk keperluan promosi. Dukung artis favorit kamu dengan membeli musik original di iTunes atau platform resmi lainnya.