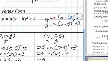
Solving Problems with Quadratic Functions Grade 11 mixed Lesson 4 5 10 31 12

Tonton & Download Video Musik Gratis

⬇ DOWNLOAD NOW
Kalau muncul iklan pop-up, tutup lalu klik tombol kembali

Download lagu Solving Problems with Quadratic Functions Grade 11 mixed Lesson 4 5 10 31 12 secara gratis hanya untuk keperluan promosi. Dukung artis favorit kamu dengan membeli musik original di iTunes atau platform resmi lainnya.